
日前,聚和材料向港交所提交IPO申请,计划上市募资用于建设产线和研发投入等。此次赴港IPO完成后,公司将实现A+H上市。
1月26日,A股集体调整。截至收盘,沪指跌0.09%,深成指跌0.85%,创业板指跌0.91%,北证50指数跌1.45%,沪深京三市成交额32806亿元,较上日放量1625亿元,三市超3700只个股飘绿。
导语
2026年是“十五五”野心开局之年,亦然为2035年基本好意思满社会目的当代化夯实基础的枢纽期间。宏不雅政策明确转向“愈加积极有为”:政府就业呈报提议连接履行愈加积极的财政政策与死心宽松的货币政策,并将“物价合理回升”纳入货币政策垂危计议。面对内需不及、新旧动能曲折、低利率环境等多重挑战,本轮调控的中枢在于遗弃“洪水漫灌”旧范式,以结构性器用为货币抓手,以增支、强场地、促消耗为财政着力点,强化财政与货币政策的深度协同,构建稳增长、调结构、防风险并重的新范式,为“十五五”高质地发展提供坚实的宏不雅政策维持。
第一部分 “死心宽松”货币政策新考量
01
我国货币政策的演进条理与多维关心特征
货币政策是宏不雅经济调控的中枢器用,其导向与履行不仅受到党和国度顶层联想的高度爱重,也成为学术界、微不雅企业络续关心的焦点,其演进条理澄清响应了我国宏不雅调控的优化标的。
从政策表述与阶段分袂来看,党的十八大以来我国货币政策历经三个枢纽疗养期,变成了纪律渐进的调控逻辑。2012-2016年为恬逸探索期,政策中枢表述为“松紧死心”“天真死心”;2017-2019年进入中性收紧期,收受“恬逸中性”“管住闸门”的调控表述;2020-2023年则为天真精确期,卓绝“天真精确”“精确有劲”的操作导向。合座而言,我国货币政策渐渐好意思满从总量调控向结构优化、从数目型器用向价钱型器用的转型,服求实体经济的观点束缚强化,风险注意顽强联结政策履行全历程,政策协同性络续增强,货币政策器用箱取得丰富与完善。
从政策文本的量化有计划视角来看,有计划团队借助文天职析步骤构建词向量体系,分袂货币政策中枢词汇、计议词汇与操作词汇,通过词频分析解读政策导向。有计划中剔除“服求实体经济”这一高频基础词汇后发现,“风险防控”成为政策文本中枢枢纽词,充分彰显统筹发展与安全的政策理念。“十五五”野心专设章节陈诉经济安全、金融安全等垂危内容,“十三五”“十四五”“十五五”三次国度级野心均对经济金融风险防控给予重心部署,突显安全发展在货币政策中的中枢性位。同期,十九大以来,省级政府就业呈报中货币政策有关表述频次快速增长,场地政府对货币政策的关心度与响应度络续提高。
从微不雅企业层面来看,近十年A股上市公司年报的治理层照应文本暴露,十九大以来企业对宏不雅流动性、货币政策、利率环境等宏不雅金融身分的关心度显赫上升。从行业漫步特征来看,金融业、资金密集型行业对货币政策有关词汇的说起频次更高,这一末端与宏不雅经济开动的逻辑高度契合,充分印证货币政策对微不雅主体计议发展的垂危影响。
02
两轮“死心宽松”货币政策的时空对比与时期各别
我国历史上两次提议“死心宽松”货币政策,2008-2010年为大意全球金融危险,2024年则面向“十五五”开局宏不雅调控,二者经济环境、政策计议与履行方式存在本色区别,新期间政策必须走出各别化新旅途。
2008-2010年的“死心宽松”货币政策,是大意全球金融危险、国内冰灾与汶川地震等多重冲击的济急之举。这一期间我国经济处于高速增长阶段,2007年GDP增速达13%,CPI为4.8%,前期宏不雅政策中枢思划为“预防经济增长由偏快转为过热、预防价钱由结构性飞腾演变为显豁通胀”。危险爆发后,我国推出积极财政政策与4万亿一揽子刺激计议,搭配“死心宽松”货币政策,以降息、降准等总量型器用大限制投放流动性,场地投融资平台成为基础设施建筑与债务融资的中枢载体。该政策短期内踏实了经济增长、完善了交通基础设施、增强了经济韧性,但也带来场地政府债务蕴蓄、重心行业风险积聚、部分领域产能饱和等非预期效应,中枢短处在于政策呈现“洪水漫灌”“一刀切”特征,结构化调控器用相对单一。
2024年底重提的“死心宽松”货币政策,面对全新的时期配景与经济矛盾。面前我国经济已转向高质地发展阶段,不再以单照旧济增速为中枢思划,“十五五”野心明确2035年东谈主均GDP计议对应的经济增速下限为4.17%,政策需兼顾稳增长、调结构、防风险的综整个议。从国内矛盾来看,经济面对内需不及、住户预期不稳、有用需求偏弱的问题,住户储蓄意愿攀升、消耗与投资意愿不及;同期肩负新旧动能曲折中枢任务,2023年中央经济就业会议提议科技、绿色、普惠、养老、数字“五篇大金融著作”,成为金融服务高质地发展的中枢标的。从风险防控来看,场地政府隐性债务、部分地区财政相差矛盾、中小金融机构风险、房地产领域留传问题等风险隐患仍需化解。从外部环境来看,中好意思贸易摩擦、地缘政事突破等大国博弈加重,外部不深信性显赫上升。
两轮“死心宽松”货币政策的中枢各别,聚合体现为调控方式的根蒂转变:2008年政策以总量激进式宽松为中枢,洪水漫灌式投放流动性;2024年政策以结构精确式宽松为中枢,总量型器用保持审慎,结构性器用成为调控主力,将强遗弃旧有刺激方式。
03
新期间“死心宽松”货币政策的履行逻辑与落地旅途
面向“十五五”开局之年,新期间“死心宽松”货币政策需遵守“稳”字基调,以结构性器用为中枢抓手,强化财政与货币政策协同,同期优化金融传导机制,均衡政策效用与风险防控。
总量型货币政策宝石稳字当头、审慎发力,不再通俗照搬2008年的激进调控方式。面前我国已进入低利率时期,降息空间相对有限,央行在总量调控上保持克制,为畴昔政策疗养预留充足空间,幸免过度刺激引发新的风险累积。同期,货币政策的预期治理功能愈发突显,十八大以来央行通过政策吹风会、新闻发布会、部长通谈等渠谈强化与市集的调换,2024年提议“死心宽松”不仅是政策操作的疗养,更是向市集传递澄清的政策信号,指令市集主体变成踏实预期。
结构性货币政策器用成为新期间调控的中枢抓手,精确对接“五篇大金融著作”计谋条款。与2008年结构化器用相对单一的场合不同,面前央行结构化器用箱丰富完善,科技转换再贷款、时期更正再贷款等器用络续发力,理会“四两拨千斤”的杠杆作用,指令金融资源向科技、绿色、普惠、养老、数字等重心领域建立。营业银行积极响应政策导向,加大对新动能、新产业的金融维持,推动金融供给侧结构性转换,适配经济转型发展需求。但在实践中,不同类型银行对政策器用的适配度存在各别,中小金融机构面对风险限制与器用应用的双重挑战,需络续优化政策传导机制,提高器用普惠性。
财政政策与货币政策的协同配合,成为新期间政策落地的枢纽维持。面前货币政策存在“推绳索”效应,单纯依靠货币调控难以惩办有用需求不及等中枢问题,需借助积极财政政策撬动社会成本、激活民间投资。面前场地政府面对事权财权不匹配、财政资金结构性错配、相差矛盾卓绝等问题,需通过财政贴息、减税降费、消耗券等器用,与货币政策变成激励相容的协同机制,遗弃行政呐喊式过问。通过财政资金指令金融资源泉向转换领域、新兴产业,创造有用需求,变成需求牵引供给、供给创造需求的良性轮回,全面提高政策效用。
从金融传导主体来看,营业银行算作货币政策传导的中枢载体,面对总量政策下的计议挑战。络续降息导致营业银行净息差络续收窄,盈利才气承压,部分银行出现风险偏好下千里、业务下千里的景观,可能埋下长久风险隐患。因此,在落实“死心宽松”货币政策中,需同步提高营业银行风险治理与计议才气,保险货币政策传导效率,均衡盈利增长与风险防控的关连。
04
新期间“死心宽松”货币政策的履行逻辑与落地旅途
新期间“死心宽松”货币政策的中枢要义,可转头为立足于宽,制胜于度,这一表述精确复兴了政策的中枢内涵与履行枢纽。
“宽”是面前经济环境的势必聘请,从总量层面保险经济增长基本面踏实,为“十五五”中期计议好意思满、2035年基本好意思满社会目的当代化、2049年建成社会目的当代化强国提供坚实的货币金融维持,是宏不雅调控大意现存经济矛盾的必要举措。
“度”是政策履行的枢纽中枢,以2008年政策实践为鉴,新期间“死心宽松”将强遗弃洪水漫灌的全面刺激方式,遵守精确死心的调控原则。“死心”的主办是政策落地的最浩劫点,需要央行、金融机构、企业、住户等千般主体共同知晓政策导向、锚定调控计议,在稳增长、调结构、防风险之间找到动态均衡。
惟有精确主办“死心”范围,才能充分理会货币政策的正向效应,最大限制裁汰政策非预期后果,推动金融更好服求实体经济,为“十五五”期间高质地发展、社会目的当代化建筑添砖加瓦。
第二部分 “愈加积极”的财政新内涵
01
财政政策的总身局势
1.宏不雅经济局势
面前,我国经济呈现出GDP增速踏实、通胀水平低迷的特征。从我国本质GDP的季度增长率来看,近三年较为稳健,2025年增速达到5%,获胜完成世界两会制定的宏不雅增长计议。从CPI来看,自2023年第一季度起,通胀水平低于传统和气计议水平的2%,在0%左右逗留。通胀水平过高或过低齐会产生负面影响,低通胀意味着需求不及,企业面对订单穷乏,投资酬谢率下跌,进而阻扰投资、增多非天然休闲。因此,宏不雅经济政策制定应统筹经济增速与通胀水平。
图1 本质国内坐褥总值(左)和住户消耗价钱指数(右)来源:作家整理
2.2026年财政政策总身局势
2026年世界两会将GDP增速计议从5%下调至4.5%-5%,计议下调不代表宏不雅政策收紧,通胀水平是中枢关心变量。宏不雅经济政策需要筹商政策成本,政策成本不仅体现为赤字率、国债刊行限制,还与通胀水平有关。低通胀环境下政府本质债务职责较高,配资门户网2026年两会明确连接履行愈加积极的财政政策和死心宽松的货币政策,故意于经济复苏并裁汰政策成本。
此外,2025年赤字率初次提高至4%,2026年守护在4%;2026年安排1.6万亿终点国债(其中1.3万亿元为超长久终点国债),较2025年的1.8万亿减少了2000亿元,但按照经济增长后的赤字水平来看,财政开销仍在扩大;新增专项债券守护4.4万亿元;税收政策的重心是拓展场地税源、加速消耗税转换。

表1 2022-2026年财政计议
来源:作家整理
02
“积极财政政策”的着力点
1.依托“增支”如故“减税”?
(1)进一步减税的空间不及
我国宏不雅税负水平较低。从趋势来看,1992年以来我国税收收入占GDP比重先升后降,2012年前后达到峰值,尔后络续下跌,2024年降至低点,2025年小幅回升。宏不雅税负下跌受多重身分影响,包括2017年以来大限制减税降费政策履行、经济结构转型带来的高新时期企业与小微企业税收优惠加码等。
10大配资公司
图2 1992-2024年我国税收占GDP比重来源:作家整理
(2)法式税收优惠是推动世界长入大市集建筑的应有之义。
面前税收优惠政策仍存在碎屑化、交叉化和结构性失衡问题,既削弱了政策的平正性与透明性,也在一定进程上导致地区间竞争误会和市集分割。据测算,与转换有关的税收优惠已异常于世界企业所得税总限制的近五分之一;小微企业优惠力度络续加大,所得税适用的本质税率从2010年的20%渐渐降至2022年后的5%。国际货币基金组织标明,减少对特定企业和行业的优惠待遇,可使总体坐褥率提高1%以上,进而使中国的GDP增长高达2%。因此,2026年的“积极财政政策”不宜以减税为主要器用,应重心依托增多开销。
2.依托“中央”如故“场地”?
我国财政政策需要理会中央与场地两个积极性,但面前场地财力焦炙问题较为卓绝。
一是财税体制转换后,财权上收、事权下移,场地一般寰球预算相差缺口络续扩大。2025年场地本级收入12.21万亿,场地本级开销24.44万亿,近半数区、县财政自给率不及50%。
二是区域分化显赫。东部沿海自给率精深较高;而中西部及东北省份高度依赖中央转化支付。
三是地皮财政收入“腰斩”。场地财力补充高度依赖地皮财政,2021年地皮出让金收入达到峰值,2025年降至4万多亿元,占场地详尽财力比例从近30%降至15%,扣除成本后可诓骗不及1万亿元。
图3 国有地皮使用权出让金收入占世界政府性基金收入比例(2015-2025)
图4 国有地皮使用权出让金收入预算占场地详尽财力趋势(2015-2025)四是场地政府债务压力较大。债务分为法定债务与隐性债务,2025年我国隐性债务化解力度超预期,计议化解2万亿元,本质化解3.1万亿元,隐性债务余额从2024年底的10.5万亿元降至2025年底的7.4万亿元。隐性债务快速化解有助于裁汰场地风险,但也导致场地财力多数用于偿债,难以落实积极财政政策。
因此,2025年积极财政政策主要依靠中央发力,场地作用有限,2026年需要引发场地积极性,提高财政政策履行成果。
3.拉动消耗(内需)
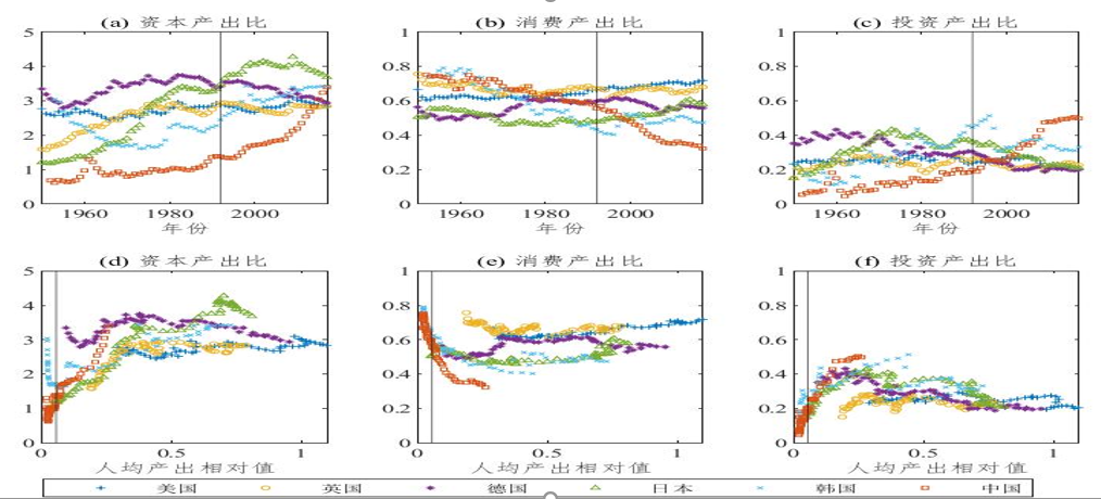
消耗不及是我国宏不雅经济发展的瓶颈。1992年以来,我国成本产出比、投财富出比络续上升,消耗产出比络续下跌,而好意思国、英国、韩国、德国、日本等进展国度消耗率保持踏实。拉动消耗是积极财政政策的中枢作用标的,按照经济学有关表面,一是裁汰住户属目性储蓄动机,二是提高边缘消耗倾向。
图5 中国与世界主要经济体中枢加总变量的历史变动特征数据来源:PWT 9.1及作家诡计;其中东谈主均产出相对值为该国各年东谈主均本质产出相对好意思国2011年东谈主均本质产出的比值;图中竖线示意1992年(第一转)或者中国东谈主均本质产出相对值在1992年的取值(第二行)
消耗(内需)不及受制于多种身分。一是转换洞着手几十年重投资、轻消耗的体制机制和政策倾向,基本寰球服务的均等化水平滞后,具体体现为东谈主口流入地的寰球服务不及,以及农村住户月均待业金较低,导致属目性储蓄动机较强。二是城镇化的比重和质地偏低,2025年常住东谈主口城镇化率为67.9%,户籍东谈主口城镇化率为48.3%,与进展经济体差距较大,制约边缘消耗倾向提高。三是收入不对等进程偏高,天然近几年基尼扫数有所下跌,但仍然守护在较高水平,二次收入分拨调度力度不及,所得税的收入分拨作用较低,转化性开销的力度还不够,影响住户合座消耗才气。
因此,2026年积极财政政策发力标的为:一是依托开销端发力;二是引发场地活力,提高场地自主财力、裁汰偿债压力;三是拉动内需,通过提高社会保险等民生开销裁汰属目性储蓄动机,通过税制转换提高住户边缘消耗倾向。
03
“愈加积极的财政政策”的内涵
1.开销端发力:财政赤字保持高位,连接扩张政府开销
2026年预算赤字率拟按4%左右安排,赤字限制5.89万亿元、比上年增多2300亿元。终点国债限制1.6万亿元、同比减少0.2万亿元。新增专项债额度4.4万亿元、与上年持平,重心维持建筑首要容颜、置换隐性债务、消化政府拖欠账款等。广义赤字限制将达13.89万亿元、较客岁小幅增多300亿元,广义赤字率同比回落0.5个百分点至9.4%,保持了必要政策力度,也为畴昔进一步发力预留充足空间。
2.裁汰属目性储蓄动机:在总量加力的同期,将络续使劲优化开销结构,宝石惠民生和促消耗、投资于物和投资于东谈主邃密结合
一是愈加珍惜维持提振消耗、投资于东谈主、保险民生。二是充分挖掘开释有用投资后劲,探索编制全口径政府投资计议,并聚焦新质坐褥力、新式城镇化、东谈主的全面发展等重心领域,增强市集主导的有用投资增长能源。
3.提高场地自主财力:进一步扩翻开销盘子并靠前发力,同期推动转化支付量质并举,增强场地自主财力和统筹才气
一是中央财政增多对场地财力性转化支付限制。二是开展整合统筹使用转化支付资金试点。夙昔转化支付分为两类:一般性转化支付和专项转化支付。一般性转化支付给予场地的自主度较高,而专项转化支付有指定用途,导致场地账上可能产生有钱不成花的情况,产生了错配,裁汰了场地自主财力。如果场地更多依赖于专项转化支付或者场地财力更多由专项转化支付补充,则不利于平抑经济波动。为了惩办这个痛点,本年在6个省开展了整合统筹使用转化支付资金试点,给予场地更大的财政自主权。
4.裁汰偿债压力:连接积极有序化解场地政府债务风险,加速构建长入的政府债务治理长效机制
一是多措并举化解融资平台计议性债务风险,着力惩办债务“冰山”问题。二是构建长入的政府债务治理长效机制,首提“长入”,意味着债务口径长入、轨制端正长入、监管权责长入,从而好意思满政府债务的全遮盖治理,为财政可络续提供轨制保险。
5.深切鞭策财税体制转换,推动消耗税转换等中枢举措落地,健全径直税体系
一是加大财政资源和预算统筹力度,提高国有成本收益收取比例。二是健全场地税体系,推动场地附加税转换、消耗税转换等。夙昔消耗税更多为中央税,而况在坐褥步骤征收,转换鞭策后会为场地提供更大的财力维持。三是健全径直税体系、改善收入分拨,这亦然畴昔5-10年重心关心的标的。
总而言之,“愈加积极的财政政策”的内涵为:一是开销端发力,赤字水平守护高位、超长久终点国债络续刊行。二是提振内需,投资于东谈主,以裁汰属目性储蓄动机;税制转换、改善分拨,增强住户边缘消耗倾向。三是理会中央和场地两个积极性,提高场地自主财力,裁汰场地偿债压力。
蔓延阅读围绕“十五五”期间的政策协同发展,“大金融想想沙龙”第273期与会嘉宾围绕货币政策协同发力、宏不雅税负优化、场地财力提高等中枢议题伸开深切探讨。
香港中语大学(深圳)寰球政策学院经济学实践栽种、国际衔尾副院长、香港国际金融学会主席肖耿从国际视角共享对“十五五”开局年财政与货币政策的不雅点。他示意,中国按购买力平价已成为全球最大经济体,货币政策与财政政策需与好意思国对标,中枢矛盾在于夙昔5-8年中好意思财富端出现严重失衡——好意思国财富快速膨大,中国财富络续收缩,导致中国在全球贸易与投资中处于被迫。他以为,“十五五”需履行愈加积极的财政政策与死心宽松的货币政策,重心惩办财富欠债失衡与历史债务问题。一是要推动合理通胀与财富重估,以此均衡财富端与欠债端,破解场地政府负财富窘境。爱重房地产价值重估是债务与财富均衡的枢纽。二是化解场地政府债务,建议由中央政府顶层联想,让场地政府复原可络续财政相差,减轻对民营企业的税费压力,改善市集活力。三是推动东谈主民币合理增值与国际化,缩小中好意思价钱水平差距,裁汰好意思元通胀贬值带来的结构性冲击。他强调,中国具备经济实力好意思满上述疗养,需转变场地政府、企业与家庭活动,以财富重估与债务重构维持“十五五”高质地发展。
中国财政科学有计划院寰球收入有计划中心有计划员梁季围绕2026年积极财政政策、宏不雅税负与场地财力问题伸开分析,一是2026年积极财政政策开销总量守护高位,赤字、政府债券及中央对场地转化支付均转换高,开销结构络续优化,重心保险科技与民生过问,严控行政开销,并强化财政、金融、产业政策协同以放大乘数效应;二是我国小、中、大口径宏不雅税负频年络续大幅下跌,主若是由减税降费、物价低位开动、新旧动能曲折期传统税源懊丧与新税未能补上等原因所致。宏不雅税负下跌在维持积极财政的同期也一定进程上制约了畴昔积极财政政策的空间,因此“十五五”需重心有计划何如保持合理宏不雅税负;三是增强场地财力、健全场地税体系需要在新的局势配景下统筹筹商有计划。面前,世界场地一般寰球预算开销跳动世界一般寰球预算收入,中央对场地转化支付限制大于中央本级收入,在这种配景下增强场地财力需要从两方面发力:一是在促进经济高质地发展中、扩大内需的基础拓展场地税源;二是在统筹整合转化支付、提高场地对转化支付资金统筹才气的基础上,增强场地财力。
长江证券首席经济学家伍戈围绕财政与货币政策协同伸开分析,中枢聚焦政策计议与器用的关连、2026年经济局势判断及政策单干协同三或者点。一是厘清政策计议与器用宏不雅政策的中枢是好意思满量价融合长入,面前主要矛盾是物价络续低位。政策器用必须服务于稳增长、稳物价计议。在价钱着实止跌回稳、企业利润与市集信心未充分复原前,建议逆周期政策不宜减轻。二是对本年度经济局势与政策判断,2026年出口高增维持GDP,外部供给冲击推动物价回升,但这并非内需拉动。成本冲击容易压制中下流企业盈利,需警惕需求偏弱的景观,政接应连接裁汰融资成本、保险舛讹群体。三是财政与货币的单干协同,财政侧重结构性疗养,刚性强、易上难下;货币侧重总量调控,更天真市集化。面前中枢协同点在于财政大限制发债化债时,央行应着力压低长久利率,作念好短长久的久期匹配,幸免范围吞吐,着实好意思满政策协同增效。
注:本文系中国东谈主民大学国际货币有计划所有计划呈报,编号IMI Report No.2605,发布于“大金融想想沙龙”第273期,作家:高昊宇(中国东谈主民大学财政金融学院栽种、银行业有计划中心副主任)、李戎(中国东谈主民大学财政金融学院栽种)
不雅点整理:任文翔、孙嘉祺、季致远、马艺萌
监制:坦然
]article_adlist-->版面裁剪|卢想彤职责裁剪|阎奕舟、孔姝潼
主编|朱霜霜
近期热文
]article_adlist-->管涛:直面中东风险外溢, 稳住中国经济基本盘
国外之声 | 欧洲央行重磅呈报“地缘经济碎屑化下的金融踏实风险”
荐读•赠书 | IMF原通知长林建海《走向世界:我与IMF的三十年》
好意思联储副主席:东谈主工智能对劳能源市集和经济意味着什么?
AI赋能反电诈行业共治:中小银行的最新实践与探索
]article_adlist-->
]article_adlist-->
海量资讯、精确解读,尽在新浪财经APP
好配资官网app富灯网配资盈富优配利好优配翔云优配
红藤网配资提示:文章来自网络,不代表本站观点。